デュタステリド(ザガーロジェネリック)の成分表と添加物
本記事はAGA治療の専門医院として20年以上の実績がある、リブラクリニックが制作したものです。

この記事の監修者
プロフィール
昭和58年3月|東海大学医学部卒業、十仁病院皮膚科、慶和病院副院長を務め、平成16年リブラクリニック目黒院入局、平成22年よりリブラクリニック目黒院院長。ED治療薬、AGA治療薬の推進と適性治療に多数貢献。平成5年に医学博士取得。
座右の名は「努力こそ金なり」、趣味は釣り。
デュタステリド(ザガーロジェネリック)の成分表
| デュタステリドカプセル 0.5mgZA「トーワ」 | デュタステリドカプセル 0.5mgZA「サワイ」 | デュタステリド錠 0.5mgZA「明治」 | |
|---|---|---|---|
| 有効成分 | デュタステリド0.5mg | デュタステリド0.5mg | デュタステリド0.5mg |
| 一般名 | デュタステリド(Dutasteride) | デュタステリド(Dutasteride) | デュタステリド(Dutasteride) |
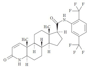
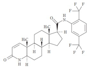
| 分子式 | C27H30F6N2O2 | C27H30F6N2O2 | C27H30F6N2O2 |
| 構造式 | ![]() | ![]() | ![]() |
デュタステリド(ザガーロジェネリック)の添加物
デュタステリド(ザガーロジェネリック)トーワに使用されている添加物は医薬品添加物として認められている成分であり、薬を形作るために使用されています。これらの添加物は薬理作用(生体の何らかの変化)を示さないこと、無害であること、有効成分の治療効果を妨げないことを大前提として使用されています。
| デュタステリドカプセル 0.5mgZA「トーワ」 | デュタステリドカプセル 0.5mgZA「サワイ」 | デュタステリド錠 0.5mgZA「明治」 | |
|---|---|---|---|
| 添加剤 | ジブチルヒドロキシトルエン、中鎖モノ・ジグリセリドカプセル本体:ゼラチン、コハク化ゼラチン、濃グリセリン、酸化チタン、三二酸化鉄、プロピレングリコール脂肪酸エステル | グリセリン、グリセリン脂肪酸エステル、コハク化ゼラチン、酸化チタン、ジブチルヒドロキシトルエン、ゼラチン | 乳糖水和物、低置換度ヒドロキシプロピルセルロース、ヒドロキシプロピルセルロース、結晶セルロース、ステアリン酸マグネシウム、ヒプロメロース、マクロゴール6000,酸化チタン、タルク、三二酸化鉄、カルナウバロウ |
デュタステリド(ザガーロジェネリック)製剤の性状
| デュタステリドカプセル 0.5mgZA「トーワ」 | デュタステリドカプセル 0.5mgZA「サワイ」 | デュタステリド錠 0.5mgZA「明治」 | |
|---|---|---|---|
| 外形 | |||
| 識別コード | デュタステリド ZA 0.5 トーワ | デュタステリド ZA 0.5 サワイ | 表:MS127 裏:0.5 |
| 色調等 | 淡紅色不透明 | 淡黄白色不透明の長楕円形 | 淡紅色 |


